- Organic Chemistry
- Aldehydes and Ketones
- Alkyl Halides, Alcohols and ethers
- Amines and other nitrogen compounds
- Aromatic Chemistry
- Carbohydrates, Amino acids, protein, Vitamin and Fat
- Carboxylic acids and its derivatives
- Chemistry in daily life
- General Mechanism in organic compounds
- Hydrocarbons
- Nomenclature and isomerism
23 - Organic Chemistry Questions Answers
Arrange The Following in increasing order of reactivity towards nucleophilic substitution and give reason :
CH3F , CH3Cl , CH3Br , CH3I .
Arrange The Following in increasing order of dipole moment and give reason :
Dichloromethane , chloroform , carbon tetrachloride .
Dichloromethane > chloroform > carbon tetrachloride
HOW TO COMPARE FOR HEAT OF COMBUSTION ? WHAT MOST BE STRATERGY TO DECIDE WHICH COMPOUD HAVE MORE EAT OF COMBUTION
For this it is necessary to remember all the bond energies
can anyone explain to me how to write the structures of some organic compounds like but-2-ol?
name is not correct
IUPAC name has four part
Extra Group................Main Chain............Bond Name..............Main Group
so name may be
*****..........................but........................an...................................2ol
****** means no extra group is present
Main group is alcohol and its name is ol, 2 for second place in chain
"but" for 4 carbon and "an" for all single bond
so structure will be CH3CH(OH)CH2CH3
What do you know about boron?And boron nomenclature?
Boron is a chemical element produced by cosmic ray spallation. Chemically uncombined Boron which is classified as a metalloid is not found naturally on earth. Several allotropes of Boron exist. Natural Boron is composed of two stable isotopes one of which is Boron 10, used as a neutron capturing agent.
How does Fridal craft reaxn can be given by ESTER
CH3COOCH2CH3
PLEASE HELP ME
PLEASE
CH3CO--OC2H5
This is the form of ester. In the presence of anhydrous AlCl3, C6H6 will give reaction with ester
JEE 2009 (MATRIX MATCH QUES.)
How reaction takes place between
CH3CH2CH2CH2NH2 and CHCl3/alco.KOH giving foul smell.
PLEASE GUIDE ME.
PLEASE
This is well known Reimer Tiemann reaction
Product will be
CH3CH2CH2CH2NC
what is issomers
isomer means compound with same molecular formula but different structural formula.
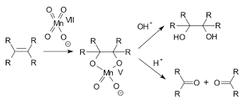
explain the mechanism when alkenes are treated with cold KMnO4 ?
Iodoform test is used for-
a) starch
b) maltose
c) glucose
d) sucrose
MANIPAL 2012
starch turns iodine blue
